• Search

  • 关于我们
    公司介绍 资质证书
  • 业务领域
    水文地质勘察 污染场地调查与风险评估 生态环境污染修复全产业链 生态环境污染源头防控全产业链 突发生态环境事件应急处置与损害鉴定评估 环境科学研究 工程技术研究和试验发展
  • 服务案例
    水文地质勘察 场地调查与风险评价 修复设计及工程施工 环境综合服务 环境科学研究 工程技术研究和试验发展
  • 科技创新
    工程技术发展研究中心 环境标准编制 科研成果 技术团队
  • 新闻中心
    企业新闻 行业动态
  • 企业文化
    文化理念 员工关怀
  • 联系我们
    招贤纳士 联系方式
企业新闻 行业动态
行业动态
首页> > 行业动态

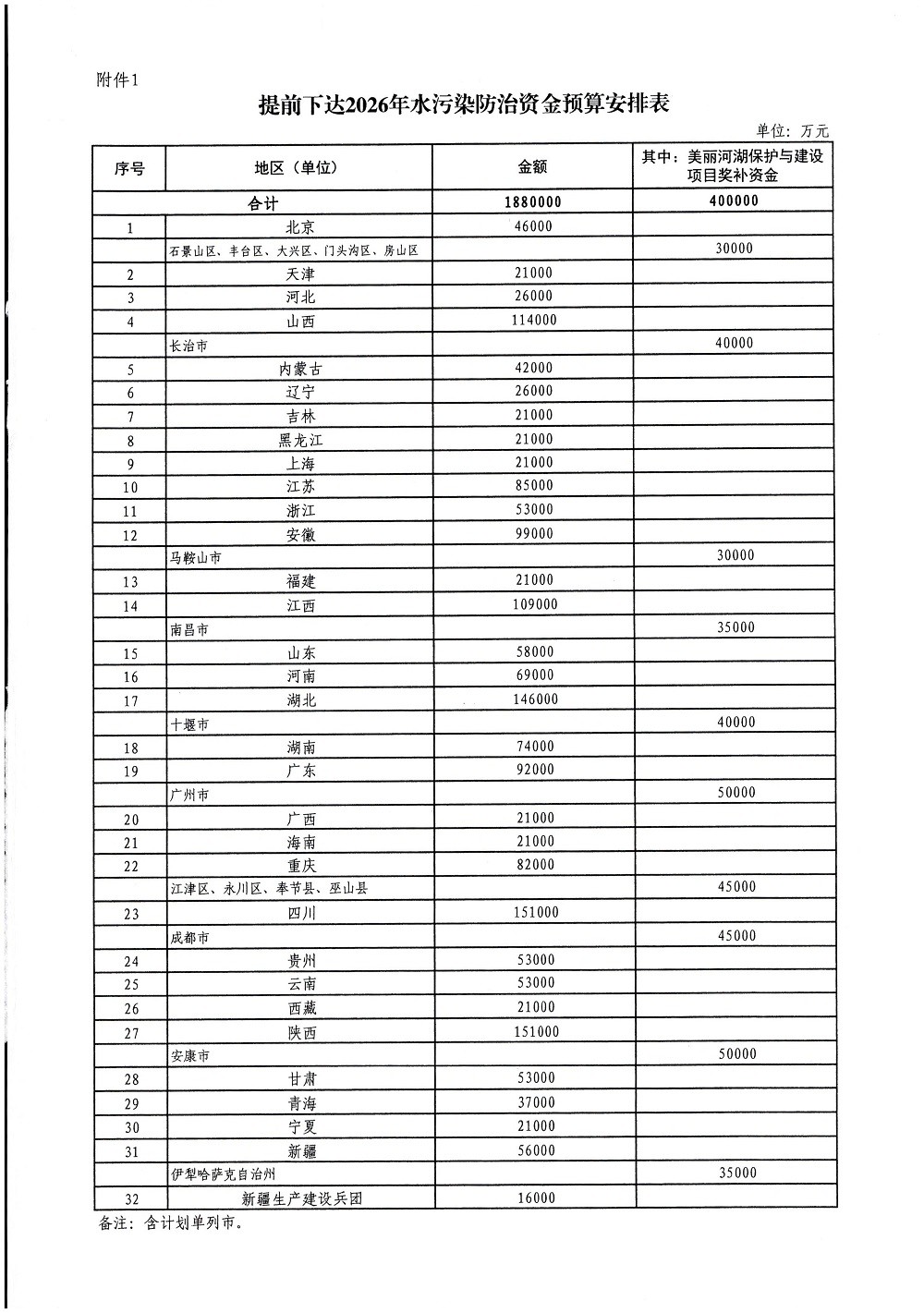
财政部关于提前下达2026年大气、水、土壤污染防治资金预算的通知

2025-12-04

近日,为支持大气、水、土壤污染防治工作,促进环境质量改善,财政部为各省、自治区下达了2026年大气、水、土壤污染防治资金预算,用于支持开展减污降碳、水污染防治和水生态环境保护、农用地土壤重金属污染源整治、重金属环境隐患排查整治等方面相关工作。

本次预算金额共计463.8亿元,其中大气污染预算资金243.6亿元,水污染防治预算资金188亿元,土壤污染防治预算资金32.2亿元。

以下为2026年大气、水、土壤污染防治资金预算表。


上一篇:生态环境部发布关于公开征求国家生态环境标准《重点监管单位土壤污染隐患排查整改技术指南(征求意见稿)》意见的通知下一篇:以法为纲 绿色同行︱《中华人民共和国生态环境法典》正式颁布
> 友情链接
Copyright © 2022- 华泽(北京)生态环境研究院有限公司   All Rights Reserved.    备案号:京ICP备2022012105号     网站地图